Betadex Sulfobutyl Ether Natri Tá dược Dược phẩm Tá dược EP USP Lớp

Betadex Sulfobutyl Ether Natri Tá dược Dược phẩm Tá dược EP USP Lớp

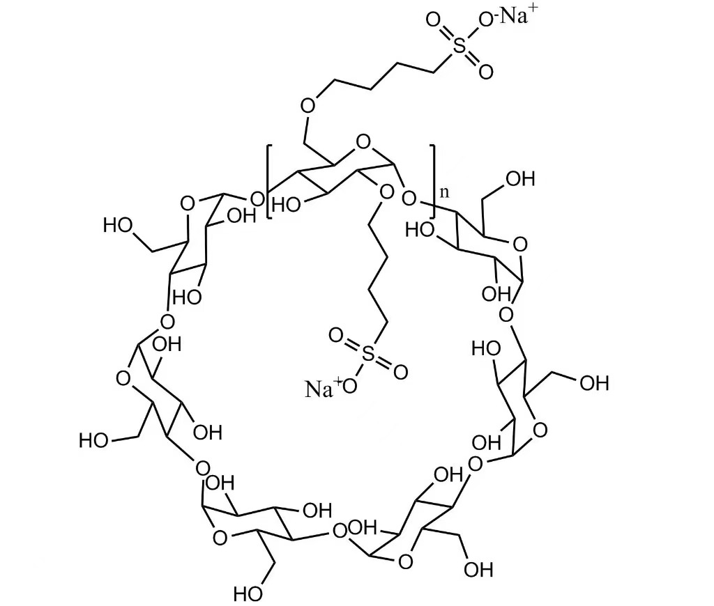
Betadex Sulfobutyl Ether Natri Tá dược dược phẩm tiêm Lớp EP USP (CAS 182410-00-0) là một dẫn xuất cyclodextrin hòa tan trong nước cao, được sử dụng làm chất hòa tan và chất ổn định trong các công thức thuốc tiêm, tăng cường khả năng hòa tan, an toàn và sinh khả dụng.

Gửi yêu cầu

Mô tả Sản phẩm

Công ty TNHH Công nghiệp hóa sinh Tây An Delilà một doanh nghiệp công nghệ cao chuyên nghiên cứu, phát triển, sản xuất và kinh doanh các dẫn xuất cyclodextrin. Được thành lập từ năm 1999, công ty đã có hơn 25 năm kinh nghiệm trong lĩnh vực tá dược dược phẩm, trong đó cóHydroxypropyl Betadex (HPBCD)Betadex Sulfobutyl Ether Natri (SBECD). Công ty vận hành các khu vực sạch chuyên dụng và dây chuyền sản xuất tiên tiến, đảm bảo sản phẩm chất lượng cao, ổn định và nhất quán cho các ứng dụng dược phẩm toàn cầu.

Mô tả sản phẩm

Betadex Sulfobutyl Ether Natri Tá dược Dược phẩm Tá dược EP USP Lớp(CAS 182410-00-0) là dẫn xuất cyclodextrin anion tan trong nước cao. SBECD có chức năng như chất hòa tan, chất làm ướt, chất chelat và chất che phủ, tăng cường khả năng hòa tan của thuốc, độ ổn định và an toàn trong các công thức thuốc tiêm, uống, mũi và nhãn khoa. SBECD được sử dụng rộng rãi trong các API chống nấm, kháng vi-rút, tim mạch và ung thư.

Thông số sản phẩm

Số CAS: 182410-00-0
Công thức phân tử: C42H70-nO35·(C4H8SO3Na)n
Cấp: Có thể tiêm, tuân thủ EP và USP
Xuất hiện: Bột vô định hình màu trắng đến trắng nhạt
Xét nghiệm: ≥99,0%
Ứng dụng: Công thức dược phẩm tiêm và tiêm
Quy cách đóng gói: 500g/túi; 1kg/túi; 10kg/bao; 10kg/phuy; đóng gói tùy chỉnh có sẵn
Bảo quản: Kín và khô
Thời hạn sử dụng: 36 tháng
COA / Đảm bảo chất lượng: 

Mỗi lô SBECD được kiểm tra độ tinh khiết xét nghiệm, nội độc tố vi khuẩn, dung môi tồn dư, kim loại nặng và mức độ thay thế trung bình (DS), tuân thủ các tiêu chuẩn dược điển USP và EP.

Ứng dụng sản phẩm

Betadex Sulfobutyl Ether Natri được sử dụng để tăng cường khả năng hòa tan, giảm độc tính cho thận, giảm thiểu tình trạng tan máu và cải thiện sự tuân thủ của bệnh nhân. SBECD thích hợp cho các hệ thống truyền tĩnh mạch, tiêm bắp, mũi, miệng và nhãn khoa. Nó tạo thành các phức hợp bao gồm các API có tính bazơ yếu và chứa nitơ, mang lại khả năng giải phóng bền vững và cải thiện độ ổn định.

Hydroxypropyl Betadex (HPBCD) – Tá dược dược phẩm tiêm và uống
Betadex Sulfobutyl Ether Natri (SBECD) – Dẫn xuất cyclodextrin dạng tiêm

Câu hỏi thường gặp

Hỏi: Xi'an Deli Biochemical có phải là nhà sản xuất SBECD không?
Trả lời: Có, Xi'an Deli Biochemical sản xuất Betadex Sulfobutyl Ether Natri (SBECD) và HPBCD. Beta Cyclodextrin được sử dụng làm nguyên liệu thô để sản xuất dẫn xuất.

Hỏi: Mẫu có sẵn không?
Trả lời: Có, các mẫu SBECD có sẵn để đánh giá.

Hỏi: Năng lực sản xuất hàng loạt và hàng năm là bao nhiêu?
Trả lời: Năng lực sản xuất hàng loạt của SBECD là 2,5 tấn và sản lượng hàng năm vượt quá 200 tấn.

Hỏi: Những tài liệu quy định nào được cung cấp?
Trả lời: COA, MSDS, dữ liệu độ ổn định và hồ sơ kỹ thuật có sẵn cho tất cả các lô.

Hỏi: Tùy chọn vận chuyển?
A: Vận chuyển toàn cầu bằng đường hàng không, đường biển hoặc chuyển phát nhanh.

Thẻ nóng: Betadex Sulfobutyl Ether Natri Tá dược dược phẩm tiêm EP USP Lớp, Nhà sản xuất, Nhà cung cấp, Trung Quốc, Nhà máy, số lượng lớn, Mẫu miễn phí, Sản xuất tại Trung Quốc, Còn hàng, Bán buôn, Mua

Danh mục liên quan

Gửi yêu cầu

Xin vui lòng gửi yêu cầu của bạn trong mẫu dưới đây. Chúng tôi sẽ trả lời bạn trong 24 giờ.
icon
X
Chúng tôi sử dụng cookie để cung cấp cho bạn trải nghiệm duyệt web tốt hơn, phân tích lưu lượng truy cập trang web và cá nhân hóa nội dung. Bằng cách sử dụng trang web này, bạn đồng ý với việc chúng tôi sử dụng cookie. Chính sách bảo mật
Từ chối Chấp nhận