USP Betadex Sulfobutyl Ether Natri – giải pháp tá dược giúp tăng cường độ hòa tan, độ ổn định và khả dụng sinh học trong công thức thuốc của bạn.
Số CAS: 182410-00-0
Danh mục: Tá dược dược phẩm
Chức năng: Chất hòa tan/Chất tạo phức/Chất tăng cường sinh khả dụng
Độ hòa tan: Hòa tan tự do trong nước
Ứng dụng: Dạng thuốc tiêm; API hòa tan kém; Ổn định thuốc và che mùi.
Số lượng tối đa: 1kg
OEM/ODM: Có sẵn
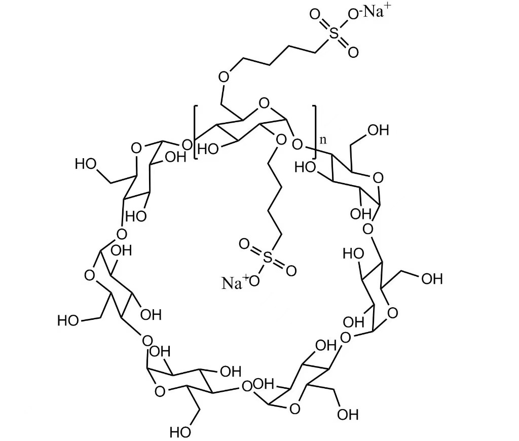
Betadex Sulfobutyl Ether Natri là gì?
USP Betadex Sulfobutyl Ether Natri (SBECD) là một dẫn xuất cyclodextrin, một tá dược có độ tinh khiết cao, hòa tan trong nước được thiết kế đặc biệt cho các công thức dược phẩm tiêm và tiêm. Nó tăng cường độ hòa tan, độ ổn định và khả dụng sinh học của các thành phần dược phẩm hoạt tính (API) kém tan trong nước bằng cách hình thành các phức hợp ổn định, đảm bảo phân phối thuốc đáng tin cậy và hiệu quả điều trị nhất quán.
SBECD thích hợp cho các công thức tiêm tĩnh mạch, tiêm bắp và tiêm dưới da, ngăn ngừa kết tủa, giảm sự thoái hóa hóa học và duy trì sự ổn định của các API nhạy cảm. Nó cũng lý tưởng cho các dung dịch nhãn khoa, thuốc xịt mũi và các công thức dạng lỏng khác đòi hỏi độ hòa tan và độ ổn định cao hơn. Khả năng hòa tan trong nước cao, độc tính thấp và khả năng tương thích sinh học tuyệt vời làm cho nó trở thành tá dược được ưa thích cho nghiên cứu, phát triển lâm sàng và các sản phẩm tiêm thương mại.
Ứng dụng và sử dụng điển hình
Ứng dụng:
USP Betadex Sulfobutyl Ether Natri (SBECD) được sử dụng rộng rãi như một tá dược dược phẩm để cải thiện độ hòa tan, độ ổn định và khả dụng sinh học của các thuốc kém tan trong nước. Nó phù hợp cho các công thức tiêm, bao gồm tiêm tĩnh mạch, tiêm bắp và tiêm dưới da, cũng như các dung dịch nhỏ mắt, thuốc xịt mũi và các công thức dạng lỏng khác. SBECD có thể ngăn chặn sự kết tủa, giảm sự phân hủy hóa học và tăng cường tính ổn định của các API nhạy cảm, khiến nó trở nên lý tưởng cho hoạt động R&D, phát triển lâm sàng và các sản phẩm dược phẩm thương mại.
Sản phẩm thuốc tiêu biểu sử dụng SBECD:
Betadex Sulfobutyl Ether Natri SBECD 182410-00-0Đặc điểm kỹ thuật
Tên sản phẩm
Betadex Sulfobutyl Ether Natri
Tên khác
Muối natri Sulfobutyl β-cyclodextrin
Đặc điểm kỹ thuật
USP/EP/JP/ChP
Loại
Tá dược dược phẩm
Thời hạn sử dụng
36 tháng
MOQ
1 kg
Thời gian giao hàng
3-5 ngày làm việc
Bưu kiện
500g/túi; 1kg/túi; 10kg/bịa đặtlà trống
Betadex Sulfobutyl Ether Natri SBECDCOA

Tại sao chọn chúng tôi?
Công ty TNHH Công nghiệp hóa sinh Tây An Deli được thành lập vào năm 1999 và là nhà sản xuất chuyên nghiệp chuyên về tá dược dược phẩm cyclodextrin. Với hơn 25 năm phát triển không ngừng, chúng tôi đã xây dựng được chuyên môn kỹ thuật vững chắc và hệ thống sản xuất ổn định tập trung vào các dẫn xuất cyclodextrin chất lượng cao.
Các sản phẩm cốt lõi của chúng tôi bao gồm Hydroxypropyl Betadex (HPβCD) và Betadex Sulfobutyl Ether Natri (SBE-β-CD), được sử dụng rộng rãi trong các công thức dược phẩm, thú y và hóa học để hòa tan, ổn định, che mùi và tăng cường khả dụng sinh học của các hoạt chất kém hòa tan. Chúng tôi đảm bảo độ tinh khiết nhất quán theo từng lô, hiệu suất đáng tin cậy và hỗ trợ kỹ thuật cho thị trường dược phẩm, thú y và mỹ phẩm toàn cầu. Dữ liệu kỹ thuật chi tiết, chứng chỉ phân tích (COA) và đánh giá mẫu luôn sẵn có để tạo điều kiện thuận lợi cho việc phát triển công thức và tối ưu hóa hiệu suất sản phẩm.
• Hơn 25 năm kinh nghiệm sản xuất các dẫn xuất cyclodextrin
• Năng lực sản xuất ổn định với cỡ mẻ từ 2–3 tấn
• Sản lượng hàng năm lên tới 200 tấn, đảm bảo nguồn cung đáng tin cậy
• Sản phẩm tập trung: Hydroxypropyl Betadex và Betadex Sulfobutyl Ether Natri
• Tuân thủ USP/EP/JP/ChP, phù hợp với thị trường dược phẩm toàn cầu
• Chất lượng đồng nhất với sự kiểm soát nghiêm ngặt theo từng đợt
• Cung cấp linh hoạt, MOQ từ 1 kg, hỗ trợ R&D cho đến sản xuất thương mại
Chúng tôi cam kết cung cấp chất lượng ổn định, nguồn cung cấp đáng tin cậy và hỗ trợ chuyên nghiệp cho các đối tác toàn cầu của chúng tôi.
R&D & Sức mạnh kỹ thuật
Công ty TNHH Công nghiệp hóa sinh Xi'an Deli có đội ngũ R&D nội bộ và hệ thống sản xuất hoàn chỉnh, hoạt động theo mô hình tự sản xuất và bán hàng trực tiếp. Nhóm của chúng tôi tập trung vào việc đổi mới tá dược và hỗ trợ công thức để đáp ứng nhu cầu đa dạng của khách hàng.
Tất cả nhân viên sản xuất đều được đào tạo về GMP và phòng thí nghiệm của chúng tôi được trang bị các thiết bị tiên tiến như HPLC, GC, HPCE, IR, máy đo phân cực, máy đo pH, máy đo độ dẫn điện và máy phân tích độ ẩm, đảm bảo kiểm tra đáng tin cậy và chất lượng sản phẩm nhất quán.
Phòng Chất lượng hợp tác chặt chẽ với Vật liệu và Sản xuất để kiểm tra các nhà cung cấp, lưu giữ mẫu và tiến hành nghiên cứu độ ổn định, duy trì các tá dược chất lượng cao từ quá trình R&D đến khi đưa ra thị trường.
Dưới đây bạn có thể xem hình ảnh của nhóm chúng tôi tại các triển lãm quốc tế và các tài liệu chứng nhận của chúng tôi, nêu bật sức mạnh kỹ thuật và sự công nhận của ngành.
Câu hỏi thường gặp
1. Bạn có nhà máy không?
Vâng, chúng tôi là nhà máy với 26 năm kinh nghiệm, chào mừng bạn đến thăm nhà máy của chúng tôi. Khi bạn có lịch trình chi tiết, xin vui lòng cho tôi biết trước.
2. Bạn có ISO và DMF không?
Có, chúng tôi đã đạt được Chứng chỉ ISO 9001, DMF, Halal, v.v.
3. Thời gian giao hàng của bạn là bao lâu?
Như thường lệ, thời gian giao hàng của chúng tôi là khoảng 1 ~ 3 ngày làm việc sau khi nhận được thanh toán, tuy nhiên, đối với một số sản phẩm đặc biệt, vui lòng xác nhận trước với người quản lý bán hàng của bạn.
4. Làm thế nào bạn có thể xác nhận chất lượng của mình?
Mỗi lô hàng có thể được chuyển đến bạn sau khi kiểm tra nghiêm ngặt, nếu bạn vẫn nghi ngờ, chúng tôi có thể sắp xếp Mẫu trước khi giao hàng để bạn thử nghiệm hoặc cho bên thứ ba được chỉ định của bạn để kiểm tra lại trước, thành công, sau đó chúng tôi sẽ sắp xếp hàng hóa số lượng lớn cho bạn ngay lập tức.
5. Năng lực sản xuất của bạn là gì?
Năng lực sản xuất hàng loạt của chúng tôi là 2,5 tấn và sản lượng hàng năm là 200 tấn.
Sulfobutyl Ether Beta Cyclodextrin Bột tiêm Tá dược cấp
Betadex Sulfobutyl Ether Natri CAS NO 182410-00-0
Sulfobutyl Ether Beta Cyclodextrin Natri
Betadex Sulfobutyl Ether Natri tiêm lớp
Betadex Sulfobutyl Ether Natri SBECD Loại thuốc tiêm cho công thức thuốc
Betadex Sulfobutyl Ether Natri CAS 182410-00-0